机密★启用前
2024 年 10 月高等教育自学考试全国统一考试
教育统计学
(课程代码 08327)
1.注意事项:本试卷分为两部分,第一部分为选择题,第二部分为非选择题。
2.应考者必须按试题顺序在答题卡(纸)指定位置上作答,答在试卷上无效。
3.涂写部分、画图部分必须使用 2B 铅笔,书写部分必须使用黑色字迹签字笔。
第一部分 选择题
一、单项选择题:本大题共 10 小题,每小题 1 分,共 10 分。在每小题列出的备选项中只有一项是最符合题目要求的,请将其选出。
1.在下列抽样方法中,属于随机抽样的是
A. 等距抽样
B. 分层抽样
C. 方便抽样
D. 目的抽样
2.某班级学生的期末考试分数(百分制)近似于哪种数据类型
A. 类别数据
B. 顺序数据
C. 等距数据
D. 比率数据
3.代表中数的数学符号是
A. Mₐ
B. Mₒ
C. M_H
D. M_d
4.要比较同一批学生的数学和语文成绩的离散程度,应采用的差异量数是
A. 差异系数
B. 标准差
C. 平均差
D. 方差
5.事物之间的关系不包括
A. 相关关系
B. 互斥关系
C. 因果关系
D. 共变关系
6.经计算,两列变量的相关系数为 1,表明这两列变量的相关关系是
A. 高度正相关
B. 高度负相关
C. 完全正相关
D. 完全负相关
7.随机实验有两个特点,一个是随机性,另一个是
A. 可操作性
B. 可重复性
C. 可观察性
D. 可分析性
8.在 5 名男生和 5 名女生中选取 4 名学生去参加比赛,参赛选手中至少有 1 名男生和 1 名女生的概率是
A. 1/21
B. 7/21
C. 17/21
D. 20/21
9.假设检验采用的是基于概率性质的
A. 演绎法
B. 归纳法
C. 反证法
D. 例证法
10.采用非参数检验方法对两个独立样本的差异进行比较时,可采用的检验方法是
A. 秩和检验
B. 符号检验
C. 中数检验
D. 方差分析
第二部分 非选择题
二、填空题:本大题共 10 小题,每小题 1 分 ,共 10 分。
11.影响样本代表性的因素包括样本容量和样本的_____。
12.教育统计数据资料主要来源于日常性资料和_____资料。
13.当某组数据出现缺失值时,我们可以选择_____来描述其集中趋势。
14.百分位数是次数分布中相对于某个特定百分点的_____,它表明在次数分布中特定个案百分比低于该分数。
15.斯皮尔曼等级相关系数适用于两列具有_____的测量数据,或总体为非正态的等距、等比数据。
16.点双列相关适用于两列变量中一列是来自正态总体的等距或等比数据,另一列是_____变量。
17._____为研究资料的统计分析和通过样本把握未知总体的统计推断奠定理论基础。
118.x²分布的密度函数的图形与_____的大小有关。
19.在假设检验决策中,若实际情况是不应该接受虚无假设,但分析结果却接受了虚无假设,此时所犯的错误称之为_____。
20.双向秩次方差分析所处理的是几个_____顺序变量的数据资料。
三、名词解释题:本大题共 5 小题,每小题 3 分,共 15 分。
21.随机抽样
22.算数平均数
23.平均差
24.肯德尔和谐系数
25.参数估计
四、简答题:本大题共 6 小题,每小题 5 分,共 30 分。
26.简述众数、中数和算数平均数之间的关系。
27.简述方差与标准差的性质和意义。
28.简述计算积差相关系数要求变量符合的条件。
29.简述正态曲线的基本性质。
30.简述假设检验的基本步骤。
31.简述与参数检验相比,非参数检验的优缺点。
五、计算题:本大题共 2 小题,每小题 10 分,共 20 分。
32.已知某学习小组 8 名学生的作文成绩(满分 100)分别为 50、54、56、59、66、72、79、88,请用合适的统计量描述该组数据的集中和离散趋势。(备注:保留一位小数)
33.已知某小学四年级学生历次数 学测验分数的标准差为 4 分,从该校四年级随机选取 64 名学生,算得数学测验平均分是 75.6 分,假定该校数学测验得分呈正态分布,问该校四年级学生数学测验得分的 95% 置信区间是多少?(备注:Z_(0.05/2)=1.96
六、应用题:本大题共 1 小题,每小题 15 分,共 15 分。
34.某教育培训机构声称研发了一种新的数学学习方法,受过该方法训练的学生平均成绩不低于 85 分,标准差为 10 分 ,分数呈正态分布。现从该培训机构的学员中随机选取 25 人,算得数学成绩平均分 为 89 分,问该培训机构的宣传是否属实?(备注:显著性水平α = 0.05,Z_(0.05/2)=1.96)
2024 年 10 月高等教育自学考试全国统一命题考试
08327 教育统计学 参考答案
一、单项选择题:本大题共 10 小题,每小题 1 分,共 10 分。
1.答案:A. 等距抽样
解析:等距抽样(系统抽样)是按照固定的间隔抽取样本,属于随机抽样的一种。分层抽样虽然也是随机抽样,但通常根据某种特征将总体分成若干层,再在各层中随机抽样。方便抽样和目的抽样均属于非随机抽样。
2.答案:C. 等距数据
解析:百分制分数是等距数据,因为分数之间的差值具有实际意义,且分数可以相加或相减。类别数据和顺序数据不具备这种特性,比率数据虽然也具有等距特性,但通常用于可以相乘或相除的数据。
3.答案:D. M_d
解析:M_d是众数(Mode)的符号,代表数据中出现次数最多的值。Mₐ通常表示平均数(Mean),Mₒ 表示中位数(Median),M_H不是常见的统计学符号。
4.答案:A. 差异系数
解析:比较不同单位或不同均值的离散程度时,应使用差异系数(变异系数),因为它消除了均值的影响。标准差、平均差和方差都受均值和单位的影响 ,不适合直接比较。
5.答案:B. 互斥关系
解析:事物之间的关系主要包括相关关系、因果关系和共变关系。互斥关系是指两个事件不能同时发生,不属于统计学中事物之间的常见关系类型。
33.答案:该校四年级学生数学测验得分的 95\95% 置信区间为 (74.62,76.58)(74.62,76.58)。。
已知条件:
样本容量\(n = 64)
样本均值\(\bar{x}= 75.6
总体标准差δ = 4
Z_(σ/2)=Z_{0.025}=1.96
计算过程

六、应用题:本大题共 1 小题,每小题 15 分,共 15 分。
34.在显著性水平 0.05 下,检验结果支持该培训机构的宣传属实(Z=2,未拒绝原假设)。
步骤一:提出假设
原假设 H₀ :μ ≥ 85 (宣传属实,平均成绩不低于85分)
备择假设 H₁:μ < 85(宣传不属实,平均成绩低于85分)
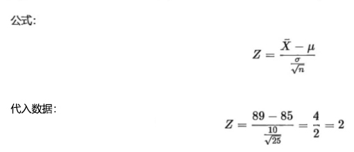
步骤二:计算检验统计量 Z 值
已知:
样本均值 \(\bar{X} =89
假设的总体均值μ= 85
总体标准差σ= 10
样本容量n = 25
步骤三:确定临界值并决策
显著性水平α =0.05,单侧左侧检验,临界值 0.05 = -1.645。
计算得到的 Z=2远大于临界值 -1.645,未落入拒绝域。
结论:
接受原假设 H₀,即该教育培训机构的宣传属实,学员平均成绩本低了85分。
(答案仅供参考,以官方评分标准为准。)
(2)本站自学考试信息供自考生参考,权威信息以各省(市)考试院官方为准。






暂无评论内容