2024 年 10 月高等教育自学考试全国统一命题考试
教育统计与测量 答案及评分参考
课程代码 00452
一、单项选择题:本大题共 15 小题,每小题 2 分,共 30 分。
1.A 2.B 3.C 4.B 5.C
6.B 7.D 8.C 9.D 10.B
11.A 12.B 13.A 14.A 15.A
二、辨析题:本大题共2小题,每小题6分。共12 分。判断正误,并说明理由。
16.这种说法是错误的。(2 分)
平均数具有确定严密、反应灵敏、计算简便的优点,且适合进一步的代数运算。(2 分)不过,平均数也存在一定的局限:易受极端值的影响,易受不清晰数据的影响。(2分)
17.这种说法是错误的。(2 分)
教育测量与教育统计两者关系密切,但不是完全等同的。
教育测量对教育中的事物特征进行定量描述,但还需要对获得的数字进行深入的统计分析,以挖掘更有价值的信息。(2分)
教育测量离不开教育统计,教育统计也离不开教育测量,二者相互关联、相互支持,教育测量是教育统计的基础,有测量所得来的数据,才能做进一步的统计分析。教育统计使教育测量更加深入,增进人们对事物特征及其发展规律的认识。(2分)
三、简答题:本大题共4小题,每小题 6分,共24分。
18.(1)可加性。(2 分)
(2)非负性。(2分)
(3)x²值的大小取决于观测频数与理论频数之差的大小。(2 分)
19.(1)列出教学内容要点。(2 分)
(2)列出教学目标清单。(2 分)
(3)填写双向细目表。(2分)
20.(1)无偏性。
(2)有效性。
(3)一致性。
(4)充分性。
(每个要点2分,答对3个要点即得6分)
21.(1)有代表性的行为样本。
(2)测验标准化。
(3)适当的难度或应答率。
(4)良好的效度和信度。
(每个要点2分,答对其中3个要点即得6分)
四、计算题:本大题共 2小题,每小题6分,共 12 分。
小军此次语文测验在全年级的排名约为37名。(1分)
23.检验步骤如下:
(1)提出假设 H₀:μ=μ₀ ;H₁:μ≠μ₀ (1分)
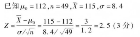
(2)确定检验统计量并计算其值
总体呈正态分布,且总体标准差已知,采用Z检验。

(3)选择显著性水平并确定临界值
取α=0.05,在双侧检验的情况下,临界值Z₀.₀₅=1.96 (1分)
(4)统计决断
由于Z₀.₀₅=1.96<Z=2.5,既以拒绝H₀ ,即该班级的英语成绩与该年段的英语平均成绩有显著性差异,可靠性程度为95%。(1分)
五、论述题:本题 10 分。
24.(1)总体的界限必须明确,要有一个清晰、具体的描述。(2 分)
(2)取样的过程必须要有详尽的描述。取样的方法有很多,比如单纯随机抽样、等距抽样每一种抽样方法都有其优势与局限性。在特定情况下,抽样方法在一定程度上会影响样本的代表性。(2分)
(3)常模团体必须是所测总体一个有代表性的标准化样本。要使样本有足够的代表性,样本大小要适当,特别是样本量不能太小。(2分)
(4)常模必须及时更新。常模团体确定后不能一劳永逸,过一段时间后,必须选取新的常模团体实施测量,以新常模团体的表现情况作为基准解释被试的分数。(2分)
(5)注意一般常模与特殊常模的结合。测验手册上的常模通常为一般常模,也就是适用于总体内各个被试的分数解释,适用范围广。(2分)
六、综合应用题:本题 12 分。

(2)本站自学考试信息供自考生参考,权威信息以各省(市)考试院官方为准。





暂无评论内容