2011年10月高等教育自学考试
经济应用数学试题
课程代码:06956
一、单项选择题(本大题共5小题,每小题2分,共10分)
在每小题列出的四个备选项中只有一个是符合题目要求的,请将其代码填写在题后的括号内。错选、多选或未选均无分。
1.下面不能被复合成实数域上的初等函数的那组函数是( )
A.v=sin u,u=x2 B.y=tan v,v=ln x
C.y=arcsin u,u=2+x D.y=v1/2,v=-1-x2
2.下面几个关于极限的结论中,有错误的是( )

3.函数

在x=0处的导数y′|x=0是( )
A.1 B.-1
C.0 D.不存在
4.函数
在下列区间上不满足拉格朗日中值定理条件的是( )
A.[0,1] B.[1,8]
C.[-1,1] D.[8,27]
5.已知
,则下面各式中正确的是( )

二、填空题(本大题共10小题,每小题2分,共20分)
请在每小题的空格中填上正确答案。错填、不填均无分。
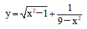
6.函数
的定义域为_________。
7.设
在x=0处连续,则A=_________。
8.函数曲线y=x2+2x在x=2处的切线方程为_________。
9.曲线y=2(x+1)3+3的拐点为_________。
10.若ln x是f(x)的一个原函数,则f(x)的导函数为_________。
11.广义积分
=_________。
12.设z=x5+3x2y3,则
=_________。
13.二重积分
在极坐标下可化为累次积分I=_________。
14.定积分
=_________。
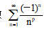
15.当p满足_________条件时,任意项级数
一定条件收敛。
三、计算题(一)(本大题共6小题,每小题6分,共36分)
16.求极限
。
17.设y=(x+1)sin x,求dy。
18.求不定积分
。
19.设z=ln(x2+y3),求全微分dz。
20.判断正项级数
的敛散性。(必须有必要步骤及理由)
21.试确定函数y=2x3-15x2+36x-1的单调增减区间和极值。
四、计算题(二)(本大题共2小题,每小题7分,共14分)
22.计算二重积分
,其中积分区域D为直线y=0,y=x,x=1所围成的闭区域。
23.求微分方程xy′-2y=x3在初始条件y|x=1=1下的特解。
五、应用题(本大题共2小题,每小题8分,共16分)
24.求由x=0、y=2及曲线
所围成的平面图形的面积;并求该面积绕y轴旋转一周所成旋转体的体积。
25.某厂生产甲、乙两种产品各x单位、y单位,其生产、销售这两种产品的总成本为C=2x2+13y2-2xy+1000(元),已知甲、乙产品的市场售价分别为每单位200元和400元。现问:应如何计划安排生产量,才能获取最大利润?最大利润是多少?(本题假设:产量=销售量)
六、证明题(本大题4分)
26.证明:方程ex+x=2在(0,1)内至少有一实根。
(2)本站自学考试信息供自考生参考,权威信息以各省(市)考试院官方为准。






暂无评论内容