绝密★考试结束前
全国2021年10月高等教育自学考试
数据结构试题
课程代码:02331
1 .请考生按规定用笔将所有试题的答案涂、写在答题纸上。
2 .答题前,考生务必将自己的考试课程名称、姓名、准考证号用黑色字迹的签字笔或钢笔填写在答题纸规定的位置上。
选择题部分
注意事项:
每小题选出答案后,用2B铅笔把答题纸上对应题目的答案标号涂黑。如需改动,用橡皮擦干净后,再选涂其他答案标号。不能答在试题卷上。
一、单项选择题:本大题共15小题,每小题2分,共30分。在每小题列出的备选项中只有一项是最符合题目要求的,请将其选出。
1 .下列关于数据项和数据元素的叙述中,正确的是
A.数据项只能是数值类型 B.数据项可以包含数据元素
C.数据元素是数据的基本单位 D.数据元素是由数据项组成的集合
2 .下列关于抽象数据类型的叙述中,正确的是
A.抽象数据类型与具体实现相关
B.抽象数据类型是由C语言本身提供的
C.抽象数据类型是C语言提供的类型的逻辑描述
D.抽象数据类型将数据定义和数据操作封装在一起
3 .设有初始为空的栈S,入栈序列是f, e, d, c, b, a,出栈序列是d, e, a, b, c, f,则需要为S分配的空间大小至少是
A. 2 B. 3 C. 4 D. 5
4 .指针head指向带头结点的单链表L的表头,结点结构为:I data | next |,其中,data为int型,next是指向后继结点的指针。指针p指向L中的首个数据结点,指针q指向P的后继结点。现要交换p、q所指向的两结点中的data值,下列选项中,不能完成该任务的操作是 •
A. head->next = q; p->next = q->next; q->next = p;
B. p->next = q->next; head->next = q; q->next = p;
C • q->next = p; p->next = q->next; head->next = q;
D. int temp = p->data; p->data = q->data; q->data = temp;
5 .采用行优先压缩存储方式保存6行6列对称矩阵A的上三角部分,每个元素占2个单元,若A中第一个元素%的存储地址是10,则元素a34的存储地址是
A. 22 B. 26 C. 34 D. 40
6 .已知广义表L = (((l,i),h),(x,i,a,o)),下列运算中,结果得到h的是
A. head( tail( L)) B. head( tail(head(L)))
C. head( head( tail( L))) D. head( head( tail( tail( L))))
7 .下列关于二叉树的叙述中,错误的是
A.二叉树可以为空
B .二叉树可以保存在数组中
C.二叉树中叶结点的个数多于度为1结点的个数
D.二叉树中叶结点的个数多于度为2结点的个数
8 .若二叉树的前序遍历序列是ABCD,中序遍历序列是ACDB,则其后序遍历序列是
A. ABDC B. ACDB C. CDBA D. DCBA
9 .对下图进行广度优先搜索遍历,正确的遍历序列是

A. bdeac B. badce C. acedb D. abced
10 .关于图G的深度优先生成树T1与广度优先生成树T2,下列叙述中正确的是
A. T1与T2 一定相同 B. T1与T2可能相同
C. T1与T2—定不相同 D. T1与T2中所含边数不相等
11 .对n个记录进行排序,最坏情况下,时间复杂度不是0(/)的排序方法是
A.直接插入排序 B.冒泡排序
C.快速排序 D.堆排序
12 .下列排序方法中,不宜在链表上实现的是
A.直接插入排序 B.快速排序
C.归并排序 D.基数排序
13 .若元素序列11,13,15, 7, 8, 9, 23, 2, 5是采用下列排序算法之一得到的第2趟排序后的结果,则该排序算法是
A.直接插入排序 B.冒泡排序
C.选择排序 D.二路归并排序
14 .在长度为〃 52100) 的有序线性表中进行二分查找,查找成功时,查找长度不多于4的关键字个数是
A. 4 B. 7 C. 15 D. 100
15 .将下列数据分别依次插入到初始为空的二叉排序树中,能得到高度最低二叉排序树的是
A. 9,7,2, 1,4, 10 B. 6,4, 1, 8, 10, 5
C. 5, 1,2, 6,3,4 D. 2,4, 7, 5, 8, 10
非选择题部分
注意事项:
用黑色字迹的签字笔或钢笔将答案写在答题纸上,不能答在试题卷上。
二、填空题:本大题共10小题,每小题2分,共20分。
16 .非空的带头结点的单循环链表中,终端结点的指针域指向的是链表的_____。
17 .已知循环队列存储在一维数组A[0..n-l]中,头指针是fhmt,尾指针是rear,初始时front的值和rear的值均是0,则第1个入队元素存储在数组中存储位置的下标是_____
18 .将中缀表达式9-( 2+4*7)转换为后缀表达式的结果是_____。
19 .广义表G = ( 27, G) 的深度是_____。
20 .具有几521) 个结点的二叉树,采用二叉链表存储,空指针域的个数是_____。
21 .两个无向连通图均含有10个顶点,它们之间的边数差最大是_____。
22 .有向图G存在拓扑序列的条件是_____。
23 .若用C语言的数组A保存含/(”210) 个元素的大根堆,则第3大元素在A中的下标最大是 _____。
24 .分块查找又称为_____。
25 .非空的3阶B树中,每个非根结点中含有的关键字个数最少是_____。
三、解答题:本大题共4小题,每小题5分,共20分。
26 .链栈为什么不必设置头结点?
27 .已知字符集{ a, b, c, d, e }中各字符出现的频次分别为2, 3, 6, 8, 10,对字符集进行哈夫曼编码,字符a的编码是000,字符e的编码是11,则其余3个字符的编码分别是什么?
28 .设有向图G如题28图所示,给出图G的邻接矩阵。

题28图
29 .设有关键字16, 15, 32, 11, 6, 30,将它们依次保存在哈希表(长度为7的一维数组)中,哈希函数为H/) = 上mod7,采用线性探查法解决冲突。已知关键字16已放置在数组下标为2的位置。请画出哈希表。
四、算法阅读题:本大题共4小题,每小题5分,共20分。
30 .程序f30()创建了一个带头结点的含% (%23)个数据结点的单链表L, L前两个数据结点中的data值均为1,从第3个结点开始,结点的data值是其前两个结点data值之和。请在空白处填上适当内容将算法补充完整。
typedef struct node
{ int data;
struct node *next;
} myList;
myList *head=NULL;
void f30(int n)
{ int i;
myList *p, *preOne;
if(n<3) return;
head = (myList *)malloc( sizeof(myList) ); // 建立头结点
p = (myList *)malloc( sizeof(myList) ); // 建立第一个数据结点
p->data=l ;p->next=NULL;
head->next=p;preOne=p;
p = (myList *)malloc( sizeof(myList) ); II 建立第二个数据结点
p->data= 1 ;p->next=NULL;preOne->next=p;
for (i=3; i<=n; i++ )
{ p = (myList *)malloc( sizeoRmyList));
p->data = (1) ;
p->next= ⑵ ;
(3) =p;
preOne = preOne->next;
}
return;
}
31 .已知图的邻接矩阵表示的存储结构定义如下,算法f31()统计图中各顶点的度,并返回最大度数。请在空白处填上适当内容将算法补充完整。
#define MaxVertexNum 100 //
typedef struct gra //
{ int vexs[ MaxVertexNum ]; //
int arcs[ MaxVertexNum ][ MaxVertexNum ]; //
最大顶点数
图
顶点数组
邻接矩阵
} MGraph;
int f31 (MGraph g, int vex) 〃g为图的邻接矩阵,vex为图g中的顶点数
{ int i, j, countmax=0, count;
for (i=0; i<vex; i++)
{ CD;
fbr(j=O;j<vex;j++)
iff (2) )
count -H-;
if ( count > countmax )
countmax = count;
}
return (3) :
32 .己知二叉排序树结点的数据类型定义及二叉排序树的某个算法f32()如下。
typedef struct node
{ int data;
struct node *left, *right;
} BstTree;
void f32(BstTree * root, int kl, int k2)
{ if ( root=NULL ) return;
if ( kl>k2 ) return;
f32( root->left, kl, k2 );
if (root->data >= kl && root->data <=k2 )
printf(”%d, ", root->data );
f32( root->right, kl, k2);
return;
}
请回答下列问题。
(1) f32()的功能是什么?
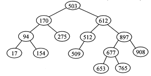
(2)对于题32图所示的二叉排序树T,调用f32(T, 100, 612)后的输出是什么?

题32图
33 .阅读程序,并回答下列问题。
int f33(int A[], int i, int j, int k)
{ int mid;
if(i<j)
{ mid = (i+j)/2;
if (A[mid]<k) return f33(A, mid+1, j, k);
else return f33(A, i, mid, k);
}
if (A[i]==k ) return i;
else return -1;
}
(1)若有 int a[6] = {3, 5, 7, 9, 11,15};,则执行 printf(“f33=%d\n”, f33(a, 0, 5, 7));后输出的内容是什么?
(2) f33()的功能是什么?
五、算法设计题:本题10分。
34.设n个整数存放在数组A中,请编写函数f34( int A口,intn) ,将所有奇数调整到所有偶数之前。
(2)本站自学考试信息供自考生参考,权威信息以各省(市)考试院官方为准。






暂无评论内容